Introduction
A binary adder, also known simply as an adder or summer, is a digital circuit used to perform binary addition. Adders are fundamental components of Arithmetic Logic Units (ALUs) in computers and processors. They are also used in various processor sections to calculate addresses, table indices, increment/decrement operations, and other arithmetic functions.
Although adders can be designed for multiple number representations (such as binary-coded decimal or excess-3), binary addition is the most common application. When using signed number systems such as two’s complement or one’s complement, an adder can easily be modified into an adder-subtractor circuit.
There are two main types of binary adders:
- Half Adder
- Full Adder
Half Adder
A half adder is a basic combinational circuit that adds two binary digits (bits). It has two input variables — the augend (A) and addend (B) — and produces two outputs: the Sum (S) and the Carry (C).
Logical Expressions
- Sum (S) = A ⊕ B
- Carry (C) = A · B
Logical Circuit Diagram
![]()
Truth Table
| A | B | Sum (S) | Carry (C) |
|---|---|---|---|
| 0 | 0 | 0 | 0 |
| 0 | 1 | 1 | 0 |
| 1 | 0 | 1 | 0 |
| 1 | 1 | 0 | 1 |
The half adder uses an EX-OR gate to calculate the sum and an AND gate to calculate the carry.
It cannot account for carry input from a previous addition, which limits its use in multi-bit addition circuits.
Full Adder
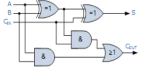
A full adder is an advanced version of the half adder. It adds three binary inputs — two significant bits (A and B) and one carry input (Cin). It generates two outputs: Sum (S) and Carry Out (Cout).
Logical Expressions
- Sum (S) = (A ⊕ B) ⊕ Cin
- Carry Out (Cout) = (A · B) + (B · Cin) + (A · Cin)
Logical Circuit Diagram
![]()
Truth Table
| A | B | Cin | Sum (S) | Carry Out (Cout) |
|---|---|---|---|---|
| 0 | 0 | 0 | 0 | 0 |
| 0 | 0 | 1 | 1 | 0 |
| 0 | 1 | 0 | 1 | 0 |
| 0 | 1 | 1 | 0 | 1 |
| 1 | 0 | 0 | 1 | 0 |
| 1 | 0 | 1 | 0 | 1 |
| 1 | 1 | 0 | 0 | 1 |
| 1 | 1 | 1 | 1 | 1 |
The full adder circuit uses two EX-OR gates, two AND gates, and one OR gate.
It can be cascaded with other full adders to perform addition of multi-bit binary numbers.
n-bit Binary Adder (Ripple Carry Adder)
A single-bit adder can only handle one binary position. To add larger binary numbers, multiple full adders are connected in series, forming an n-bit binary adder, commonly known as a Ripple Carry Adder (RCA). In this configuration, the carry-out from each full adder is connected to the carry-in of the next higher-order adder. This creates a “ripple” effect as carries propagate from the least significant bit (LSB) to the most significant bit (MSB).
For instance, in a 4-bit binary adder, four full adders are cascaded. Each full adder handles one bit of the binary numbers being added.
Advantages of Binary Adder
- Can easily be modified to perform subtraction by adding an inverter (used as a half subtractor).
- Full adders provide higher output and efficiency compared to half adders.
- They offer high processing speed and reliable performance.
- Full adders consume very low power and support voltage scaling effectively.
- Essential for building complex digital circuits such as multiplexers, counters, and arithmetic units.
- Enable addition of multiple bits simultaneously through cascading.
- Simple design makes it a core component for arithmetic computation in processors and GPUs.
Disadvantages of Binary Adder
- Half adders cannot process carry input, making them unsuitable for multi-bit addition.
- Ripple carry adders have slower performance due to sequential carry propagation.
- In large bit-width additions, delay increases as carries “ripple” through each adder stage.
Applications of Binary Adder
- Used in Arithmetic Logic Units (ALUs) of microprocessors and microcontrollers.
- Essential for calculators and digital measuring devices.
- Used in the design of counters, adders, and multiplexers.
- Helps in memory address generation and program counter updates.
- Used in carry-out multiplication and logic circuits.
- Integral to GPU and CPU architecture for arithmetic computations.
- Forms the basis of digital logic design and signal processing circuits.
Conclusion
The binary adder is one of the most fundamental building blocks in digital electronics. It enables arithmetic operations required in all computing systems, from simple calculators to complex microprocessors. Understanding half adders, full adders, and ripple carry adders is crucial for designing efficient digital circuits.
